"......ΕΙΝΑΙ ΑΠΕΙΡΗ Η ΤΙΜΗ ΚΑΙ ΑΠΕΙΡΟΣ Ο ΣΕΒΑΣΜΟΣ ΓΙΑ ΤΟΝ ΕΛΛΗΝ
ΑΝΘΡΩΠΟ ΝΑ ΦΕΡΕΙ ΣΤΗΝ ΟΛΟΤΗΤΑ ΤΟΥ ΤΗΝ ΠΗΓΗ ΤΟΥ ΙΔΙΟΥ ΤΟΥ
ΩΜΕΓΑ....."
ΣΕΛ.:490-501
ΟΛΟΙ ΟΙ ΕΛΛΗΝ ΑΝΘΡΩΠΟΙ ΠΡΕΠΕΙ ΝΑ ΝΟΙΩΣΟΥΝ ΤΗΝ ΟΛΙΚΗ
ΟΛΟΤΗΤΑ ΤΟΥΣ, ΩΣ ΝΑ ΕΙΝΑΙ ΟΙ ΙΔΙΟΙ Η ΟΛΟΤΗΤΑ ΑΥΤΗ!
ΠΡΕΠΕΙ ΟΛΟΙ ΟΙ ΕΛΛΗΝ ΑΝΘΡΩΠΟΙ ΝΑ ΚΑΤΑΝΟΗΣΟΥΝ, ΝΑ ΝΟΗΣΟΥΝ
ΚΑΙ ΝΑ ΑΝΤΙΛΗΦΘΟΥΝ ΤΟΝ ΙΔΙΟ ΤΟΝ ΧΡΟΝΟ, ΤΟΝ ΙΔΙΟ ΤΟΝ
ΑΠΟΛΥΤΟ ΧΡΟΝΟ 1 ΕΝΑ, ΤΟΝ ΙΔΙΟ ΤΟΝ ΑΧΡΟΝΟ ΑΛΗΘΙΝΟ
ΠΡΑΓΜΑΤΙΚΟ ΤΟΥΣ ΧΡΟΝΟ, ΤΑ ΙΔΙΑ ΤΑ ΧΡΟΝΙΚΑ ΤΩΝ
ΧΡΟΝΟΔΙΑΣΤΗΜΑΤΩΝ, ΤΩΝ ΧΡΟΝΙΚΩΝ ΤΗΣ ΕΛΛΑΝΙΑΣ ΘΕΙΑΣ
ΣΥΝΗΔΕΙΤΟΤΗΤΑΣ ΤΟΥΣ, ΤΟ ΙΔΙΟ ΤΟ ΧΡΟΝΙΚΟ ΤΗΣ ΕΝΣΑΡΚΩΣΗΣ
ΤΟΥΣ!
ΝΑ ΚΑΤΑΝΟΗΣΟΥΝ ΚΑΙ ΝΑ ΑΝΤΙΛΗΦΘΟΥΝ ΟΛΟΙ ΟΙ ΕΛΛΗΝ ΑΝΘΡΩΠΟΙ
ΟΤΙ Ο ΧΡΟΝΟΣ ΕΙΝΑΙ ΗΔΗ ΜΕΣΑ ΤΟΥΣ, ΕΙΝΑΙ ΗΔΗ Η ΙΔΙΑ Η ΥΠΑΡΞΗ
ΤΟΥΣ, ΑΛΛΑ ΚΑΙ ΟΤΙ ΖΟΥΝ ΚΑΙ ΒΙΩΝΟΥΝ ΜΕΣΑ ΚΑΙ ΠΑΝΩ ΣΤΟΝ ΙΔΙΟ
ΤΟΝ ΔΗΜΙΟΥΡΓΟ ΤΟΥΣ ΧΡΟΝΟ ΚΑΙ ΟΤΙ ΣΥΝΕΧΩΣ, ΟΛΟΙ ΟΙ ΕΛΛΗΝ
ΑΝΘΡΩΠΟΙ ΔΗΜΙΟΥΡΓΟΥΝ ΧΡΟΝΟ ΚΑΙ ΧΡΟΝΙΚΑ ΜΕΣΑ ΣΤΗΝ
ΔΗΜΙΟΥΡΓΙΑ ΤΟΥ ΑΧΡΟΝΟΥ ΑΛΗΘΙΝΟΥ ΤΟΥΣ ΧΡΟΝΟΥ. ΚΑΙ ΩΣ
ΔΗΜΙΟΥΡΓΗΜΑΤΑ ΤΟΥ ΙΔΙΟΥ ΤΟΥ ΑΠΟΛΥΤΟΥ ΧΡΟΝΟΥ 1 ΕΝΑ,
ΔΗΜΙΟΥΡΓΟΥΝ ΜΕΣΑ ΣΤΗΝ ΟΛΙΚΗ ΟΛΟΤΗΤΑ ΤΟΥ ΑΠΟΛΥΤΟΥ
ΧΡΟΝΟΥ ΤΟΥΣ 1 ΕΝΑ.
ΟΛΟΙ ΟΙ ΕΛΛΗΝ ΑΝΘΡΩΠΟΙ ΠΡΕΠΕΙ ΝΑ ΚΑΤΑΝΟΗΣΟΥΝ ΤΙΣ 3 ΤΡΕΙΣ
ΟΛΟΤΗΤΕΣ ΜΟΝΑΔΕΣ Ι ΤΟΥΣ ΧΡΟΝΟΣ-ΝΟΥΣ-ΦΩΣ.
ΟΠΟΥ ΟΛΟΙ ΤΟΥΣ ΠΡΕΠΕΙ ΝΑ ΚΑΤΑΝΟΗΣΟΥΝ ΚΑΙ ΝΑ ΑΝΑΓΝΩΡΙΣΟΥΝ,
ΩΣ ΝΟΗΜΟΝΑ ΕΛΛΑΝΙΑ ΘΕΙΑ ΑΝΘΡΩΠΙΝΑ ΟΝΤΑ, ΟΤΙ ΕΙΝΑΙ ΘΕΙΑ
ΔΗΜΙΟΥΡΓΗΜΑΤΑ ΜΟΝΑΔΙΚΑ, ΑΛΗΘΙΝΑ ΚΑΙ ΑΠΟΛΥΤΑ, ΤΗΣ ΘΕΙΑΣ
ΔΗΜΙΟΥΡΓΙΚΗΣ ΟΛΟΤΗΤΑΣ ΤΟΥ ΙΔΙΟΥ ΤΟΥ ΑΠΟΛΥΤΟΥ ΝΟΥ 1 ΕΝΑ.
ΠΡΕΠΕΙ ΟΛΟΙ ΟΙ ΕΛΛΗΝ ΑΝΘΡΩΠΟΙ ΝΑ ΑΝΑΓΝΩΡΙΣΟΥΝ ΤΗΝ ΟΛΟΤΗΤΑ
ΤΟΥ ΔΗΜΙΟΥΡΓΙΚΟΥ ΝΟΥ, ΩΣ ΔΙΚΗ ΤΟΥΣ ΟΛΟΤΗΤΑ ΜΟΝΑΔΑ
ΔΗΜΙΟΥΡΓΙΑΣ, ΟΤΑΝ ΠΡΟΦΕΡΟΥΝ ΤΟΝ ΚΩΔΙΚΟ ΝΟΥΣ.
«ΔΕΝ ΕΙΝΑΙ ΑΥΤΟΙ, ΟΙ ΑΝΘΡΩΠΟΙ ΚΑΙ Ο ΝΟΥΣ, ΩΣ ΝΑ ΕΙΝΑΙ ΚΑΤΙ ΞΕΝΟ,
ΕΞΩ ΑΠΟ ΑΥΤΟΥΣ».
ΟΤΑΝ ΟΙ ΕΛΛΗΝ ΑΝΘΡΩΠΟΙ ΠΡΟΦΕΡΟΥΝ ΤΟΝ ΝΟΥ Ή ΑΝΑΦΕΡΟΝΤΑΙ
ΣΤΟΝ ΝΟΥ ΚΑΙ ΣΤΗΝ ΟΛΟΤΗΤΑ ΤΟΥ, ΟΥΣΙΑΣΤΙΚΑ ΠΡΕΠΕΙ ΝΑ
ΓΝΩΡΙΖΟΥΝ ΟΤΙ ΑΝΑΦΕΡΟΝΤΑΙ ΣΤΗΝ ΔΙΚΗ ΤΟΥΣ ΟΛΟΤΗΤΑ ΤΟΥ ΝΟΥ,
ΣΤΟΝ ΔΙΚΟ ΤΟΥΣ ΝΟΥ, ΟΠΟΥ ΕΙΝΑΙ ΤΟ ΜΕΡΙΣΤΟ ΤΟΥ ΝΟΥ ΑΠΟ ΤΟΝ
ΙΔΙΟ ΤΟΝ ΑΜΕΡΙΣΤΟ ΟΛΙΚΟ ΑΠΟΛΥΤΟ ΔΗΜΙΟΥΡΓΟ 1 ΕΝΑ ΝΟΥ.
ΑΡΑ ΟΛΟΙ ΟΙ ΕΛΛΗΝ ΑΝΘΡΩΠΟΙ, ΩΣ ΟΛΟΤΗΤΑ ΜΟΝΑΔΑ Ι, ΝΟΗΜΟΝΑ
ΑΝΘΡΩΠΙΝΑ ΟΝΤΑ ΤΗΣ ΟΛΟΤΗΤΑΣ ΤΟΥΣ, ΤΟΥ ΙΔΙΟΥ ΤΟΥ ΝΟΥ ΤΟΥΣ,
ΑΝΑΓΝΩΡΙΖΟΥΝ, ΠΡΟΣΩΠΙΚΑ ΚΑΙ ΣΥΛΛΟΓΙΚΑ, ΤΗΝ ΟΛΙΚΗ ΟΛΟΤΗΤΑ
ΤΗΣ ΕΛΛΑΝΙΑΣ ΘΕΙΑΣ ΔΗΜΙΟΥΡΓΙΑΣ ΤΟΥΣ, ΤΗΝ ΟΛΟΤΗΤΑ ΜΟΝΑΔΑ Ι
ΤΟΥ ΝΟΥ, ΟΠΟΥ ΟΛΑ ΚΑΙ ΤΑ ΠΑΝΤΑ ΕΙΝΑΙ ΔΗΜΙΟΥΡΓΗΜΕΝΑ ΑΠΟ
ΤΟΝ ΙΔΙΟ ΤΟΝ ΘΕΙΟ ΔΗΜΙΟΥΡΓΟ ΑΠΟΛΥΤΟ ΝΟΥ 1 ΕΝΑ.
ΟΛΟΙ ΟΙ ΕΛΛΗΝ ΑΝΘΡΩΠΟΙ ΠΡΕΠΕΙ ΝΑ ΚΑΤΑΝΟΗΣΟΥΝ ΚΑΙ ΝΑ
ΑΝΤΙΛΗΦΘΟΥΝ, ΜΕ ΟΛΕΣ ΤΙΣ ΑΠΟΔΕΙΚΤΙΚΕΣ ΔΙΕΡΓΑΣΙΕΣ ΠΟΥ
ΧΑΡΑΧΘΗΚΑΝ ΣΤΗΝ ΑΝΑΛΥΣΗ ΚΑΙ ΔΙΑΣΠΑΣΗ ΜΑΣ ΑΥΤΗ, ΟΤΙ ΟΙ
ΙΔΙΟΙ ΕΙΝΑΙ Η ΟΛΟΤΗΤΑ ΜΟΝΑΔΑ Ι ΤΟΥ ΙΔΙΟΥ ΤΟΥ ΔΗΜΙΟΥΡΓΟΥ
ΑΠΟΛΥΤΟΥ ΦΩΣ 1 ΕΝΑ.
ΟΛΟΙ ΟΙ ΕΛΛΗΝ ΑΝΘΡΩΠΟΙ ΕΙΝΑΙ ΘΕΙΑ ΕΛΛΑΝΙΑ ΠΑΝΙΕΡΑ
ΔΗΜΙΟΥΡΓΗΜΑΤΑ ΤΟΥ ΙΔΙΟΥ ΤΟΥ ΦΩΣ. ΤΑ ΔΗΜΙΟΥΡΓΗΜΑΤΑ ΤΟΥ
ΦΩΣ, ΟΙ ΕΛΛΗΝ ΑΝΘΡΩΠΟΙ, ΕΙΝΑΙ ΤΟ ΙΔΙΟ ΤΟ ΦΩΣ, ΟΠΩΣ ΑΛΛΩΣΤΕ
ΑΝΑΦΕΡΕΤΑΙ ΚΑΙ ΤΟ ΠΑΝΙΕΡΟ ΚΩΔΙΚΟ ΤΟΥΣ ΟΝΟΜΑ, ΕΛΛΗΝ.
ΕΛ-ΛΗΝ ΣΗΜΑΙΝΕΙ ΑΥΤΟ ΠΟΥ ΔΗΜΙΟΥΡΓΗΘΗΚΕ ΑΠΟ ΤΟ ΦΩΣ Ή ΠΙΟ
ΣΥΓΚΕΚΡΙΜΕΝΑ, ΤΟ ΦΩΣ «ΕΛ» ΔΗΜΙΟΥΡΓΗΣΕ ΑΥΤΟ «ΛΗΝ», ΚΑΙ ΠΟΥ
ΑΥΤΟ ΤΟ ΔΗΜΙΟΥΡΓΗΜΑ ΤΟΥ ΦΩΣ, «ΛΗΝ», ΘΑ ΔΕΙ ΤΟ ΟΛΟΝ ΦΩΣ
«ΕΛΛ».
ΔΙΑΠΙΣΤΩΝΟΥΜΕ ΟΤΙ ΤΟ ΠΑΝΙΕΡΟ ΚΩΔΙΚΟ ΔΗΜΙΟΥΡΓΙΚΟ ΟΝΟΜΑ
ΤΟΥ ΘΕΙΟΥ ΔΗΜΙΟΥΡΓΗΜΑΤΟΣ ΤΟΥ ΦΩΣ ΕΛΛΗΝ ΑΝΘΡΩΠΟΣ,
ΔΙΑΘΕΤΕΙ 2 ΔΥΟ ΛΑΜΔΑ, 2 ΔΥΟ ΠΑΝΙΕΡΕΣ ΔΗΜΙΟΥΡΓΙΚΕΣ
ΚΟΣΜΟΜΕΣΟΤΗΤΕΣ.
«ΟΠΟΥ ΠΡΕΠΕΙ ΝΑ ΔΙΑΒΑΣΕΤΕ ΤΟ ΙΕΡΟ ΕΛΛΑΝΙΟ
ΚΕΙΜΕΝΟ ΤΗΣ ΚΟΣΜΟΜΕΣΟΤΗΤΑΣ ΤΟΥ ΛΑΜΔΑ»,
https://www.aitherikigrafi.gr/lamda-mesotita
ΩΣΤΕ ΝΑ ΕΧΕΤΕ ΔΙΚΑΙΩΤΕΡΗ ΚΑΤΑΝΟΗΣΗ ΤΗΣ ΑΛΗΘΕΙΑΣ ΤΟΥ
ΚΩΔΙΚΟΥ ΣΑΣ ΟΝΟΜΑΤΟΣ ΕΛΛΗΝ ΑΝΘΡΩΠΟΣ ΑΛΛΑ ΚΑΙ ΤΗΣ ΙΔΙΑΣ
ΤΗΣ ΕΛΛΑΝΙΑΣ ΥΠΑΡΞΗΣ ΚΑΙ ΔΗΜΙΟΥΡΓΙΑΣ ΣΑΣ.
ΟΙ 2 ΔΥΟ ΑΥΤΕΣ ΜΕΣΟΤΗΤΕΣ ΤΟΥ ΛΑΜΔΑ, ΜΕΣΑ ΣΤΟ ΚΩΔΙΚΟ
ΔΗΜΙΟΥΡΓΙΚΟ ΟΝΟΜΑ ΣΑΣ:
Η ΜΙΑ ΜΕΣΟΤΗΤΑ ΕΙΝΑΙ Η ΟΛΟΤΗΤΑ ΜΟΝΑΔΑ Ι ΤΗΣ ΔΗΜΙΟΥΡΓΙΑΣ
ΣΑΣ ΤΟΥ ΙΔΙΟΥ ΤΟΥ ΦΩΣ
ΟΠΟΥ Η ΟΛΟΤΗΤΑ ΤΗΣ ΜΕΣΟΤΗΤΑΣ ΤΟΥ ΚΩΔΙΚΟΥ ΣΕ ΣΧΗΜΑ, ΕΙΝΑΙ:
ΚΟΣΜΟΚΑΘΡΕΠΤΗΣ ΤΗΣ ΜΕΣΟΤΗΤΑΣ ΤΟΥ ΛΑΜΔΑ ΤΗΣ ΔΗΜΙΟΥΡΓΙΑΣ
ΤΟΥ ΦΩΣ ΚΑΙ ΤΟΥ ΔΗΜΙΟΥΡΓΗΜΑΤΟΣ ΤΟΥ ΦΩΣ ΕΛΛΗΝ ΑΝΘΡΩΠΟΣ
ΑΛΛΑ ΚΑΙ ΣΤΗΝ ΚΑΘΕΤΗ ΜΕΣΟΤΗΤΑ ΤΟΥ ΛΑΜΔΑ, ΒΛΕΠΟΥΜΕ:
ΑΡΑ, ΒΛΕΠΟΥΜΕ ΚΑΙ ΔΙΑΠΙΣΤΩΝΟΥΜΕ, ΣΤΗΝ ΚΑΘΕΤΗ ΑΛΛΑ ΚΑΙ ΣΤΗΝ
ΟΡΙΖΟΝΤΙΑ ΜΕΣΟΤΗΤΑ ΤΟΥ ΛΑΜΔΑ Ε Λ Λ Η Ν ΤΗΣ ΟΛΟΤΗΤΑΣ
ΤΟΥ ΦΩΣ ΤΗΣ ΔΗΜΙΟΥΡΓΙΑΣ ΤΟΥ, ΤΟ ΔΗΜΙΟΥΡΓΗΜΑ ΤΟΥ ΕΛΛΗΝ
ΑΝΘΡΩΠΟ, ΩΣ ΤΟ ΑΠΟΛΥΤΟ ΑΛΗΘΙΝΟ ΔΗΜΙΟΥΡΓΗΜΑ ΤΟΥ ΦΩΣ.
ΣΤΗΝ ΕΠΟΜΕΝΗ ΚΟΣΜΟΜΕΣΟΤΗΤΑ ΤΟΥ ΛΑΜΔΑ ΣΤΟΝ ΠΑΝΙΕΡΟ
ΚΩΔΙΚΟ ΕΛΛ – ΗΝ, ΔΙΑΠΙΣΤΩΝΟΥΜΕ ΟΤΙ ΚΑΙ ΤΑ 2 ΔΥΟ ΛΑΜΔΑ
ΚΑΙ ΟΙ 2 ΔΥΟ ΜΕΣΟΤΗΤΕΣ, ΕΙΝΑΙ ΣΕ ΜΙΑ ΟΛΟΤΗΤΑ.
ΟΠΟΥ ΔΙΑΠΙΣΤΩΝΟΥΜΕ ΟΤΙ ΣΤΗΝ ΟΛΙΚΗ ΟΛΟΤΗΤΑ ΤΗΣ ΜΕΣΟΤΗΤΑΣ
ΤΟΥΣ, ΟΙ 2 ΔΥΟ ΟΛΟΤΗΤΕΣ ΠΡΟΒΑΛΛΟΥΝ 1 ΕΝΑ ΑΠΟ ΤΑ ΠΟΛΛΑ
ΚΩΔΙΚΑ ΟΝΟΜΑΤΑ ΤΟΥ ΙΔΙΟΥ ΤΟΥ 13ΟΥ ΔΕΚΑΤΟΥ ΤΡΙΤΟΥ, ΤΟΥ
ΙΔΙΟΥ ΤΟΥ ΠΑΝΙΕΡΟΥ ΕΛΛΑΝΙΟΥ ΩΜΕΓΑ, ΟΠΩΣ ΑΛΛΩΣΤΕ
ΕΜΦΑΝΙΖΕΤΑΙ ΚΑΙ ΣΤΗΝ ΟΛΟΤΗΤΑ ΤΟΥ.
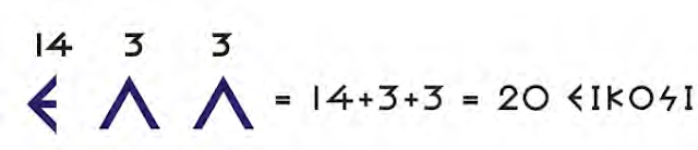
ΓΕΩΜΕΤΡΩΝΤΑΣ ΤΗΝ 1 ΠΡΩΤΗ ΟΛΟΤΗΤΑ ΕΛΛ, ΔΙΑΠΙΣΤΩΝΟΥΜΕ:
ΚΑΙ ΤΟ ΚΟΣΜΟΑΠΟΤΕΛΕΣΜΑ ΤΟΥ ΚΩΔΙΚΟΥ ΕΛΛ ΤΗΣ 1 ΠΡΩΤΗΣ
ΟΛΟΤΗΤΑΣ, ΠΟΥ ΕΙΝΑΙ ΤΟ 20 ΕΙΚΟΣΙ, ΟΥΣΙΑΣΤΙΚΑ ΜΑΣ ΠΡΟΒΑΛΛΕΙ
ΤΙΣ 2 ΔΥΟ ΟΛΟΤΗΤΕΣ ΜΕΣΟΤΗΤΕΣ ΤΩΝ 2 ΔΥΟ ΛΑΜΔΑ ΤΟΥ
ΚΩΔΙΚΟΥ ΕΛΛ.
ΟΠΟΥ ΣΤΗΝ ΤΕΛΙΚΗ ΣΥΜΠΥΚΝΩΣΗ ΤΟΥ, Ο ΚΩΔΙΚΟΣ 20 ΜΑΣ ΔΙΝΕΙ 2 +
0 = 2 ΔΥΟ. ΟΠΟΥ ΤΟ 2 ΔΥΟ, ΓΝΩΡΙΖΟΥΜΕ ΑΠΟ ΧΙΛΙΑΔΕΣ
ΑΝΑΛΥΣΕΙΣ ΚΑΙ ΑΠΟΔΕΙΞΕΙΣ ΤΩΝ ΔΙΑΣΠΑΣΕΩΝ ΤΩΝ ΙΕΡΩΝ ΚΕΙΜΕΝΩΝ
ΜΑΣ, ΟΤΙ ΕΙΝΑΙ Ο ΙΔΙΟΣ Ο 13ΟΣ ΔΕΚΑΤΟΣ ΤΡΙΤΟΣ, Ο ΙΔΙΟΣ Ο
ΕΛΛΑΝΙΟΣ ΠΑΝΙΕΡΟΣ ΩΜΕΓΑ.
ΑΡΑ: Ο ΚΩΔΙΚΟΣ
ΤΩΡΑ, ΘΑ ΔΟΥΜΕ ΤΑ ΓΕΩΜΕΤΡΙΚΑ ΚΟΣΜΟΑΠΟΤΕΛΕΣΜΑΤΑ ΤΟΥ
ΚΩΔΙΚΟΥ ΗΝ, ΤΗΣ 2ΗΣ ΔΕΥΤΕΡΗΣ ΟΛΟΤΗΤΑΣ, ΟΠΟΥ:
ΑΡΑ, ΤΟ ΚΟΣΜΟΑΠΟΤΕΛΕΣΜΑ ΤΗΣ 2ΗΣ ΔΕΥΤΕΡΗΣ ΟΛΟΤΗΤΑΣ ΗΝ, ΕΙΝΑΙ
Ο ΠΑΝΙΕΡΟΣ ΚΩΔΙΚΟΣ ΤΟΥ ΙΔΙΟΥ ΤΟΥ 13ΟΥ ΔΕΚΑΤΟΥ ΤΡΙΤΟΥ, ΤΟΥ
ΙΔΙΟΥ ΤΟΥ ΩΜΕΓΑ.
ΟΠΟΥ ΤΩΡΑ, ΕΜΦΑΝΙΖΕΤΑΙ ΟΛΗ Η ΔΡΑΣΗ ΤΗΣ ΟΛΟΤΗΤΑΣ ΤΟΥ
ΚΩΔΙΚΟΥ ΕΛΛ - ΗΝ.
ΕΛΛ = 2 ΔΥΟ ΗΝ = 13 ΔΕΚΑΤΡΙΑ 2 + 13 = 15 ΔΕΚΑΠΕΝΤΕ
Η ΙΔΙΑ Η ΑΠΟΛΥΤΗ ΜΟΝΑΔΑ Ι ΤΟΥ ΣΤΟΧΟΥ ΚΑΙ ΤΟΥ ΣΚΟΠΟΥ ΤΗΣ
ΘΕΙΑΣ 5 ΠΕΝΤΕ ΜΕΣΟΤΗΤΑΣ ΤΗΣ ΣΥΝΘΕΣΗΣ ΤΗΣ 9 ΕΝΝΕΑ ΕΛΛΑΝΙΑΣ
ΘΕΙΑΣ ΠΑΝΙΕΡΗΣ ΔΗΜΙΟΥΡΓΙΑΣ ΤΟΥ ΙΔΙΟΥ ΤΟΥ ΘΕΙΟΥ ΕΛΛΑΝΙΟΥ
ΔΗΜΙΟΥΡΓΗΜΑΤΟΣ 6 ΕΞΙ, ΟΠΟΥ ΕΙΝΑΙ Ο ΙΔΙΟΣ Ο ΕΛΛΗΝ ΑΝΘΡΩΠΟΣ.
ΚΑΙ ΜΕΓΙΣΤΗ ΑΛΗΘΕΙΑ ΕΙΝΑΙ ΑΥΤΟ, ΑΦΟΥ ΟΤΑΝ ΣΥΜΠΥΚΝΩΣΟΥΜΕ
ΤΟ ΠΑΝΙΕΡΟ 15, ΔΙΑΠΙΣΤΩΝΟΥΜΕ 1 + 5 = 6 ΕΞΙ, ΤΟ ΘΕΙΟ ΕΛΛΑΝΙΟ
ΔΗΜΙΟΥΡΓΗΜΑ 6 ΕΞΙ ΤΟΥ ΙΔΙΟΥ ΤΟΥ 13ΟΥ ΔΕΚΑΤΟΥ ΤΡΙΤΟΥ, ΤΟΥ
ΙΔΙΟΥ ΤΟΥ ΕΛΛΑΝΙΟΥ ΠΑΝΙΕΡΟΥ ΩΜΕΓΑ.
ΒΛΕΠΟΥΜΕ ΣΕ ΑΥΤΗΝ ΤΗΝ ΑΝΑΛΥΣΗ ΚΑΙ ΔΙΑΣΠΑΣΗ ΜΑΣ ΤΟΥ ΙΔΙΟΥ
ΤΟΥ ΕΛΛΗΝ ΑΝΘΡΩΠΟΥ, ΚΑΙ ΤΗΝ ΙΔΙΑ ΤΗΝ ΠΗΓΗ ΔΡΑΣΗΣ ΤΟΥ ΙΔΙΟΥ
ΤΟΥ ΩΜΕΓΑ, ΩΣ Ο ΙΔΙΟΣ Ο ΣΤΟΧΟΣ ΚΑΙ Ο ΣΚΟΠΟΣ ΤΗΣ ΙΔΙΑΣ ΤΗΣ
ΔΗΜΙΟΥΡΓΙΑΣ ΤΟΥ ΕΛΛΗΝ ΑΝΘΡΩΠΟΥ.
ΟΠΟΥ ΤΟ ΚΩΔΙΚΟ ΠΑΝΙΕΡΟ ΟΝΟΜΑ ΤΟΥ, ΤΩΝ 2 ΔΥΟ ΟΛΟΤΗΤΩΝ ΤΗΣ
ΜΕΣΟΤΗΤΑΣ ΤΗΣ ΟΛΟΤΗΤΑΣ ΤΟΥ ΕΛΛ-ΗΝ, ΣΗΜΑΙΝΕΙ:
«ΕΛΛ» ΟΙ 2 ΔΥΟ ΜΕΣΟΤΗΤΕΣ ΤΗΣ ΟΛΟΤΗΤΑΣ ΤΟΥ, ΣΗΜΑΙΝΕΙ ΤΟ ΦΩΣ
ΤΟΥ ΟΛΟΥ ΦΩΣ ΣΤΗΝ ΟΛΙΚΗ ΔΡΑΣΗ ΤΗΣ ΟΛΟΤΗΤΑΣ ΤΗΣ
ΔΗΜΙΟΥΡΓΙΑΣ ΤΟΥ.
ΤΟ «ΗΝ» ΣΗΜΑΙΝΕΙ «ΕΓΩ ΕΙΜΑΙ ΑΥΤΟΣ ΠΟΥ ΜΠΟΡΩ ΚΑΙ ΤΑ ΒΛΕΠΩ ΟΛΑ
ΚΑΙ ΤΑ ΠΑΝΤΑ. ΚΑΙ ΤΑ ΒΛΕΠΩ ΟΛΑ ΚΑΙ ΤΑ ΠΑΝΤΑ ΜΕΣΑ ΑΠΟ ΤΟ ΦΩΣ
ΤΟΥ ΦΩΤΟΣ «ΕΛΛ» ΠΟΥ ΗΔΗ ΕΙΜΑΙ».
ΑΛΛΑ ΚΑΙ ΟΛΑ ΚΑΙ ΤΑ ΠΑΝΤΑ ΕΙΝΑΙ Η ΔΗΜΙΟΥΡΓΙΑ ΤΟΥ ΙΔΙΟΥ ΤΟΥ
ΦΩΣ ΚΑΙ ΤΟΥ ΟΛΟΥ ΦΩΤΟΣ.
ΑΝΤΙΣΤΡΟΦΑ ΤΩΡΑ, ΟΤΑΝ ΕΡΜΗΝΕΥΣΕΙΣ ΤΟΝ ΠΑΝΙΕΡΟ ΚΩΔΙΚΟ ΤΟΥ
ΩΜΕΓΑ:
«ΟΛΑ ΑΥΤΑ ΠΟΥ ΔΗΜΙΟΥΡΓΗΘΗΚΑΝ ΑΠΟ ΤΟ ΦΩΣ, ΚΟΙΤΟΥΝ,
ΑΝΑΓΝΩΡΙΖΟΥΝ ΚΑΙ ΔΗΜΙΟΥΡΓΟΥΝ ΜΕ ΤΟ ΙΔΙΟ ΤΟ ΦΩΣ «ΗΝ» ΚΑΙ
ΜΕΝΟΥΝ ΑΠΟΛΥΤΑ ΚΑΙ ΣΤΑΘΕΡΑ ΣΤΟ ΦΩΣ ΠΟΥ ΔΗΜΙΟΥΡΓΗΘΗΚΑΝ.
ΘΑ ΔΟΥΝ ΤΟ ΟΛΟΝ ΦΩΣ «ΕΛΛ» ΚΑΙ ΤΟ ΦΩΣ ΤΟΥ ΦΩΤΟΣ, ΣΤΗΝ
ΟΛΙΚΗ ΟΛΟΚΛΗΡΩΣΗ ΤΗΣ ΔΗΜΙΟΥΡΓΙΑΣ ΤΟΥ ΦΩΣ ΤΟΥΣ».
ΑΡΑ, ΤΟ ΘΕΙΟ ΕΛΛΑΝΙΟ ΔΗΜΙΟΥΡΓΗΜΑ ΕΛΛΗΝ ΑΝΘΡΩΠΟΣ ΕΧΕΙ ΗΔΗ
ΜΕΣΑ ΤΟΥ ΤΗΝ ΔΗΜΙΟΥΡΓΙΑ ΤΟΥ ΙΔΙΟΥ ΤΟΥ 13ΟΥ ΔΕΚΑΤΟΥ ΤΡΙΤΟΥ,
ΤΟΥ ΙΔΙΟΥ ΤΟΥ ΩΜΕΓΑ. ΟΠΟΥ Ο ΕΛΛΗΝ ΑΝΘΡΩΠΟΣ ΓΕΝΝΙΕΤΑΙ ΜΕ
ΤΟΝ ΚΩΔΙΚΟ Ω ΩΜΕΓΑ ΣΤΗΝ ΠΛΑΤΗ ΤΟΥ ΚΑΙ ΟΛΗ Η ΣΥΣΤΑΣΗ ΤΗΣ
ΣΥΝΘΕΣΗΣ ΤΟΥ ΕΙΝΑΙ ΗΔΗ ΣΤΟ 13 ΔΕΚΑΤΡΙΑ. ΑΛΛΑ ΚΑΙ ΟΛΟ ΤΟ
ΔΗΜΙΟΥΡΓΙΚΟ ΠΕΡΙΒΑΛΛΟΝ ΤΟΥ ΕΙΝΑΙ ΚΑΙ ΑΥΤΟ ΣΤΗΝ ΣΥΝΘΕΣΗ ΚΑΙ
ΣΥΝΔΕΣΗ ΤΟΥ 13 ΔΕΚΑΤΡΙΑ.
ΟΛΑ ΚΑΙ ΤΑ ΠΑΝΤΑ ΕΙΝΑΙ 13 ΔΕΚΑΤΡΙΑ!
ΚΑΙ ΜΕΣΑ ΣΤΗΝ ΟΛΙΚΗ ΟΛΟΤΗΤΑ ΤΟΥ 13 ΔΕΚΑΤΡΙΑ ΕΙΝΑΙ ΟΛΑ ΚΑΙ ΤΑ
ΠΑΝΤΑ, ΑΠΟ ΤΟ 1 ΕΝΑ, 2, 3, 4, 5, 6, 7, 8, 9, 10, 11, 12, 13 ΔΕΚΑΤΡΙΑ, ΟΠΟΥ
ΕΙΝΑΙ Ο ΜΕΓΑΛΥΤΕΡΟΣ, Ο ΜΕΓΙΣΤΟΣ ΚΩΔΙΚΟΣ ΔΗΜΙΟΥΡΓΙΚΟΣ
ΕΛΛΑΝΙΟΣ ΑΡΙΘΜΟΣ ΚΑΙ Ο 1ος ΠΡΩΤΟΣ ΤΗΣ ΕΛΛΑΝΙΑΣ
ΔΗΜΙΟΥΡΓΙΚΗΣ ΚΤΙΣΗΣ.
ΑΡΑ, ΟΛΕΣ ΟΙ ΟΛΟΤΗΤΕΣ ΕΙΝΑΙ ΜΕΣΑ ΣΤΗΝ ΟΛΟΤΗΤΑ ΤΟΥ 13ΟΥ
ΔΕΚΑΤΟΥ ΤΡΙΤΟΥ. ΚΑΙ ΟΙ 13 ΔΕΚΑΤΡΕΙΣ ΟΛΟΤΗΤΕΣ ΜΟΝΑΔΕΣ ΣΤΗΝ
ΜΕΣΟΤΗΤΑ ΤΟΥΣ ΔΗΜΙΟΥΡΓΟΥΝ ΤΗΝ ΟΛΙΚΗ ΟΛΟΤΗΤΑ ΤΗΣ
ΜΟΝΑΔΑΣ Ι ΤΟΥΣ. ΟΠΟΥ ΑΥΤΗ Η ΟΛΟΤΗΤΑ ΜΟΝΑΔΑ Ι, ΕΛΛΗΝ
ΑΝΘΡΩΠΕ, ΕΙΣΑΙ ΕΣΥ, «Ο ΕΛΛΗΝ ΑΝΘΡΩΠΟΣ», ΟΠΟΥ ΦΕΡΕΙΣ ΠΑΝΤΑ
ΤΗΝ ΟΛΟΤΗΤΑ ΤΟΥ 13ΟΥ ΔΕΚΑΤΟΥ ΤΡΙΤΟΥ ΚΑΙ ΕΙΣΑΙ ΗΔΗ ΜΕΣΑ ΣΤΗΝ
ΟΛΟΤΗΤΑ ΤΟΥ 13ΟΥ ΔΕΚΑΤΟΥ ΤΡΙΤΟΥ. ΟΠΟΥ Η ΟΛΟΤΗΤΑ ΣΟΥ ΑΥΤΗ,
ΕΙΝΑΙ Ο ΙΔΙΟΣ Ο ΣΤΟΧΟΣ ΚΑΙ Ο ΣΚΟΠΟΣ ΤΗΣ ΟΛΙΚΗΣ ΟΛΟΤΗΤΑΣ ΤΗΣ
ΔΗΜΙΟΥΡΓΙΑΣ ΣΟΥ, ΤΟΥ ΙΔΙΟΥ ΤΟΥ ΦΩΣ ΣΟΥ. ΚΑΙ ΟΣΟ ΜΕΝΕΙΣ ΣΤΟΝ
ΣΤΟΧΟ ΚΑΙ ΣΤΟΝ ΣΚΟΠΟ ΤΗΣ 13ΗΣ ΔΕΚΑΤΗΣ ΤΡΙΤΗΣ ΟΛΟΤΗΤΑΣ ΤΗΣ
ΔΗΜΙΟΥΡΓΙΑΣ ΣΟΥ, ΣΥΝΕΧΩΣ ΘΑ ΔΗΜΙΟΥΡΓΕΙΣ ΜΕ ΦΩΣ ΜΕΣΑ ΣΤΗΝ
ΔΗΜΙΟΥΡΓΙΑ ΤΟΥ ΙΔΙΟΥ ΤΟΥ ΦΩΣ ΟΠΟΥ ΚΑΙ ΔΗΜΙΟΥΡΓΗΘΗΚΕΣ. ΚΑΙ
ΣΥΝΕΧΩΣ ΘΑ ΕΙΣΑΙ Ο ΦΟΡΕΑΣ ΟΛΩΝ ΤΩΝ ΑΠΕΙΡΩΝ ΔΗΜΙΟΥΡΓΙΚΩΝ
ΥΠΕΡΔΥΝΑΜΕΩΝ ΤΟΥ ΙΔΙΟΥ ΤΟΥ ΔΗΜΙΟΥΡΓΟΥ ΦΩΣ.
ΕΑΝ ΣΑΣ ΕΛΕΓΑ ΟΤΙ ΟΛΟΙ ΟΙ ΕΛΛΗΝ ΑΝΘΡΩΠΟΙ...
ΕΚΤΟΣ ΑΠΟ ΧΙΛΙΑΔΕΣ ΣΗΜΕΙΑ «ΑΡΧΕΣ» ΠΟΥ ΦΕΡΕΤΕ ΤΟΥ 13ΟΥ
ΔΕΚΑΤΟΥ ΤΡΙΤΟΥ, ΤΟΥ ΙΔΙΟΥ ΤΟΥ ΩΜΕΓΑ, ΚΑΙ ΣΤΑ 12 ΔΩΔΕΚΑ
ΜΕΡΗ ΤΟΥ ΣΩΜΑΤΟΣ ΣΑΣ, ΚΑΙ ΣΤΑ ΣΑΡΚΙΑ ΣΑΣ ΑΛΛΑ ΚΑΙ ΣΤΙΣ
ΣΥΝΗΔΕΙΤΟΤΗΤΕΣ ΣΑΣ, ΚΑΙ ΠΕΡΑΝ ΤΟΥ ΔΗΜΙΟΥΡΓΙΚΟΥ ΔΕΔΟΜΕΝΟΥ
ΟΠΟΥ ΖΕΙΤΕ ΚΑΙ ΒΙΩΝΕΤΕ ΣΤΟ ΗΛΙΑΚΟ ΣΑΣ ΣΥΣΤΗΜΑ ΤΩΝ 12
ΔΩΔΕΚΑ ΠΛΑΝΗΤΩΝ ΚΑΙ ΤΟΥ 13ΟΥ ΔΕΚΑΤΟΥ ΤΡΙΤΟΥ ΑΠΛΑΝΟΥΣ
ΗΛΙΟΥ, ΟΠΟΥ ΟΛΑ ΤΑ ΑΠΕΙΡΑ ΤΟΥ ΑΠΕΙΡΟΥ ΗΛΙΑΚΑ ΣΥΣΤΗΜΑΤΑ
ΤΗΣ ΕΛΛΑΝΙΑΣ ΚΟΣΜΟΚΡΑΤΟΡΙΑΣ ΜΑΣ, ΤΩΝ ΕΛΛΑΝΙΩΝ ΚΟΣΜΩΝ ΜΑΣ
ΤΗΣ ΕΛΛΑΝΙΑΣ 9 ΕΝΝΕΑΣ ΔΗΜΙΟΥΡΓΙΑΣ ΜΑΣ, ΟΛΑ ΚΑΙ ΤΑ ΠΑΝΤΑ
ΕΙΝΑΙ 13 ΔΕΚΑΤΡΙΑ, ΚΑΙ ΟΛΟΙ ΟΙ ΕΛΛΑΝΙΟΙ ΗΛΙΟΙ ΕΙΝΑΙ ΟΙ 13ΟΙ ΟΙ
ΔΕΚΑΤΟΙ ΤΡΙΤΟΙ, ΔΗΛΑΔΗ Ο ΙΔΙΟΣ Ο ΩΜΕΓΑ, Ο ΙΔΙΟΣ Ο 13ΟΣ
ΔΕΚΑΤΟΣ ΤΡΙΤΟΣ. ΝΑΙ, ΑΥΤΟΣ!
ΑΛΛΑ ΚΑΙ Ο ΕΛΛΑΝΙΟΣ ΚΟΣΜΟΣ ΣΟΥ 600 ΕΞΑΚΟΣΙΑ, ΠΟΥ ΤΟ 12
ΔΩΔΕΚΑΕΔΡΟ ΣΤΕΡΕΩΜΑ ΤΗΣ ΔΗΜΙΟΥΡΓΙΑΣ ΤΟΥ ΕΝΩΝΕΤΑΙ ΚΑΙ
ΓΙΝΕΤΑΙ ΟΛΙΚΗ ΟΛΟΤΗΤΑ ΣΤΟ 13Ο ΔΕΚΑΤΟ ΤΡΙΤΟ ΣΗΜΕΙΟ, ΤΟ ΣΗΜΕΙΟ
«ΑΡΧΗ» ΤΟΥ ΔΗΜΙΟΥΡΓΙΚΟΥ ΑΞΟΝΙΣΜΟΥ ΤΟΥ ΟΛΙΚΟΥ ΚΟΣΜΙΚΟΥ
ΕΛΛΑΝΙΟΥ ΣΦΑΙΡΙΚΟΥ ΣΤΕΡΕΩΜΑΤΟΣ ΤΟΥ ΙΔΙΟΥ ΤΟΥ ΕΛΛΑΝΙΟΥ
ΚΟΣΜΟΥ ΜΑΣ 600 ΕΞΑΚΟΣΙΑ, ΕΤΣΙ ΟΠΩΣ ΚΑΙ ΜΑΣ ΑΠΟΔΕΙΚΝΥΕΤΑΙ
ΣΤΟ ΙΕΡΟ ΕΛΛΑΝΙΟ ΚΕΙΜΕΝΟ
«Ο ΕΛΛΑΝΙΟΣ ΚΟΣΜΟΣ ΜΑΣ 600 ΕΞΑΚΟΣΙΑ»,
https://www.aitherikigrafi.gr/ieros-kodikos-kosmou-600
... ΑΡΑ ΕΚΤΟΣ ΟΛΩΝ ΑΥΤΩΝ ΤΩΝ ΑΠΕΙΡΩΝ ΧΙΛΙΑΔΩΝ ΑΠΟΔΕΙΚΤΙΚΩΝ
ΣΤΟΙΧΕΙΩΝ ΚΑΙ ΣΗΜΕΙΩΝ «ΑΡΧΩΝ» ΤΟΥ ΙΔΙΟΥ ΤΟΥ 13ΟΥ ΔΕΚΑΤΟΥ
ΤΡΙΤΟΥ, ΜΕΣΑ ΚΑΙ ΠΑΝΩ ΣΤΗΝ ΟΛΟΤΗΤΑ ΣΟΥ ΚΑΙ ΣΤΗΝ ΟΛΙΚΗ
ΟΛΟΤΗΤΑ ΤΟΥ ΚΟΣΜΟΥ ΤΗΣ ΔΗΜΙΟΥΡΓΙΑΣ ΣΟΥ, ΕΑΝ ΣΟΥ ΑΝΕΦΕΡΑ
ΟΤΙ ΜΠΟΡΕΙ ΝΑ ΦΕΡΕΙΣ ΚΑΙ ΤΗΝ ΣΚΙΑ ΤΟΥ ΙΔΙΟΥ ΤΟΥ 13ΟΥ ΔΕΚΑΤΟΥ
ΤΡΙΤΟΥ, ΤΟΥ ΙΔΙΟΥ ΤΟΥ ΩΜΕΓΑ, ΠΟΥ ΑΥΤΟ ΣΗΜΑΙΝΕΙ ΟΤΙ:
ΟΠΟΥ ΕΙΝΑΙ Η ΣΚΙΑ ΤΟΥ ΩΜΕΓΑ, ΤΟΥ ΙΔΙΟΥ ΤΟΥ 13ΟΥ ΔΕΚΑΤΟΥ
ΤΡΙΤΟΥ, ΕΙΝΑΙ ΚΑΙ Η ΙΔΙΑ Η ΑΠΕΙΡΗ ΤΟΥ ΑΠΕΙΡΟΥ ΘΕΙΑ ΠΑΝΙΕΡΗ
ΕΝΕΡΓΕΙΑ ΤΟΥ.
ΠΟΥ ΑΥΤΟ ΣΤΗΝ ΑΝΑΠΤΥΞΗ ΤΟΥ ΣΗΜΑΙΝΕΙ ΟΤΙ ΟΠΟΥ ΕΙΝΑΙ Η ΘΕΙΑ
ΠΑΝΙΕΡΗ ΕΝΕΡΓΕΙΑ ΤΟΥ, ΕΚΕΙ ΕΙΝΑΙ ΚΑΙ Ο ΙΔΙΟΣ Ο ΣΤΟΧΟΣ ΚΑΙ Ο
ΣΚΟΠΟΣ ΤΗΣ ΔΗΜΙΟΥΡΓΙΑΣ, ΟΠΟΥ ΑΥΤΟΣ ΕΙΝΑΙ Ο ΙΔΙΟΣ Ο
ΥΠΕΡΜΗΧΑΝΙΣΜΟΣ ΤΗΣ ΑΠΕΙΡΗΣ ΑΕΝΑΗΣ ΣΥΝΕΧΟΜΕΝΗΣ ΚΑΙ
ΣΥΝΕΧΙΖΟΜΕΝΗΣ ΑΝΑΔΗΜΙΟΥΡΓΙΑΣ ΤΩΝ ΥΠΕΡΔΥΝΑΜΕΩΝ ΤΗΣ
ΑΠΕΙΡΗΣ ΔΗΜΙΟΥΡΓΙΑΣ ΤΟΥ ΙΔΙΟΥ ΤΟΥ ΦΩΣ.
ΑΡΑ, ΠΟΙΟΣ ΕΙΝΑΙ ΑΥΤΟΣ Ο ΕΛΛΗΝ ΑΝΘΡΩΠΟΣ ΠΟΥ ΔΕΝ
ΑΝΤΙΛΑΜΒΑΝΕΤΑΙ ΑΥΤΗΝ ΤΗΝ ΑΠΕΙΡΗ ΤΙΜΗ ΠΟΥ ΗΔΗ ΤΟΥ ΕΧΕΙ
ΔΩΣΕΙ Ο ΙΔΙΟΣ Ο 13ΟΣ ΔΕΚΑΤΟΣ ΤΡΙΤΟΣ, Ο ΙΔΙΟΣ Ο ΩΜΕΓΑ??
ΠΟΙΟΣ ΕΙΝΑΙ ΑΥΤΟΣ Ο ΕΛΛΗΝ ΑΝΘΡΩΠΟΣ ΠΟΥ ΔΕΝ ΘΕΛΕΙ ΝΑ ΕΙΝΑΙ Ο
ΙΔΙΟΣ Ο ΣΤΟΧΟΣ ΚΑΙ Ο ΣΚΟΠΟΣ ΤΗΣ ΔΗΜΙΟΥΡΓΙΑΣ ΤΟΥ??
ΠΟΙΟΣ ΕΙΝΑΙ ΑΥΤΟΣ Ο ΕΛΛΗΝ ΑΝΘΡΩΠΟΣ ΠΟΥ ΔΕΝ ΘΕΛΕΙ ΝΑ ΦΕΡΕΙ
ΤΗΝ ΣΚΙΑ ΚΑΙ ΤΗΝ ΠΑΝΙΕΡΗ ΕΝΕΡΓΕΙΑ ΤΟΥ ΙΔΙΟΥ ΤΟΥ 13ΟΥ ΔΕΚΑΤΟΥ
ΤΡΙΤΟΥ, ΤΟΥ ΙΔΙΟΥ ΤΟΥ ΩΜΕΓΑ??
ΕΙΝΑΙ ΔΕΔΟΜΕΝΟ ΚΑΙ ΑΠΟΔΕΙΚΤΙΚΑ ΒΑΣΙΜΟ ΟΤΙ ΟΛΟΙ ΣΑΣ ΤΟ
ΘΕΛΕΤΕ.
ΤΟΤΕ ΓΙΑΤΙ ΟΛΟΙ ΟΙ ΕΛΛΗΝ ΑΝΘΡΩΠΟΙ ΑΠΟΜΑΚΡΥΝΘΗΚΑΤΕ ΑΠΟ ΤΟ
ΦΩΣ ΚΑΙ ΤΟ ΦΩΣ ΤΟΥ ΟΛΟΥ ΦΩΣ ΤΟΥ ΩΜΕΓΑ?? ΤΟΥ ΙΔΙΟΥ ΤΟΥ
ΔΙΚΟΥ ΣΑΣ 13ΟΥ ΔΕΚΑΤΟΥ ΤΡΙΤΟΥ?? ΓΙΑΤΙ ΑΠΟΜΑΚΡΥΝΘΗΚΑΤΕ ΑΠΟ
ΤΟ ΔΙΚΟ ΣΑΣ ΘΕΙΟ ΔΗΜΙΟΥΡΓΙΚΟ ΦΩΣ??? ΓΙΑΤΙ ΔΕΝ ΤΟ
ΑΝΑΓΝΩΡΙΖΕΤΕ?? ΔΕΝ ΘΥΜΑΣΤΕ?? ΚΑΙ ΓΙΑΤΙ, ΕΛΛΗΝ ΑΝΘΡΩΠΟΙ,
ΑΠΟΜΑΚΡΥΝΘΗΚΑΤΕ ΚΑΙ ΠΗΡΑΤΕ ΑΠΟΣΤΑΣΗ, «ΑΠΟΣΤΑΤΗΣ», ΑΠΟ ΤΟΝ
ΙΔΙΟ ΤΟΝ ΣΤΟΧΟ ΚΑΙ ΤΟΝ ΣΚΟΠΟ ΤΗΣ ΔΗΜΙΟΥΡΓΙΑΣ ΣΑΣ, ΟΠΟΥ ΕΙΝΑΙ
Ο ΙΔΙΟΣ Ο ΩΜΕΓΑ, Ο ΙΔΙΟΣ Ο 13ΟΣ ΔΕΚΑΤΟΣ ΤΡΙΤΟΣ???
Η ΠΗΓΗ ΤΟΥ ΩΜΕΓΑ ΕΙΝΑΙ Η ΑΠΕΙΡΗ ΠΗΓΗ ΔΥΝΑΜΗΣ ΚΑΙ ΕΝΕΡΓΕΙΑΣ
ΑΠΕΙΡΗΣ ΠΟΛΛΑΠΛΟΤΗΤΑΣ ΔΗΜΙΟΥΡΓΙΑΣ ΦΩΣ.
ΟΛΟΙ ΟΙ ΕΛΛΗΝ ΑΝΘΡΩΠΟΙ ΘΕΛΟΥΝ ΤΙΣ ΥΠΕΡΔΥΝΑΜΕΙΣ ΤΗΣ
ΔΗΜΙΟΥΡΓΙΑΣ ΤΟΥ ΦΩΣ ΤΟΥΣ ΚΑΙ ΠΡΕΠΕΙ ΝΑ ΑΝΑΓΝΩΡΙΣΟΥΝ ΤΟΝ
ΙΔΙΟ ΤΟΝ ΩΜΕΓΑ, ΤΟΝ ΙΔΙΟ ΤΟΝ 13Ο ΔΕΚΑΤΟ ΤΡΙΤΟ ΤΟΥΣ, ΟΠΟΥ
ΕΙΝΑΙ Ο ΙΔΙΟΣ Ο ΣΤΟΧΟΣ ΚΑΙ Ο ΣΚΟΠΟΣ ΤΗΣ ΘΕΙΑΣ ΑΠΕΙΡΗΣ ΠΑΝΙΕΡΗΣ
ΥΠΑΡΞΗΣ ΚΑΙ ΔΗΜΙΟΥΡΓΙΑΣ ΤΟΥΣ.
ΕΙΝΑΙ ΩΡΙΜΟΣ Ο ΧΡΟΝΟΣ ΚΑΙ ΔΙΚΑΙΟΙ ΟΙ ΧΡΟΝΟΚΥΚΛΟΙ ΟΛΩΝ ΤΩΝ
ΧΡΟΝΟΔΙΑΣΤΗΜΑΤΩΝ ΤΩΝ ΧΡΟΝΙΚΩΝ, ΠΟΥ ΤΩΡΑ ΣΤΙΣ ΗΜΕΡΕΣ ΤΗΣ
ΕΝΣΑΡΚΩΣΣΗΣ ΣΑΣ ΓΡΑΦΟΝΤΑΙ, ΧΑΡΑΖΟΝΤΑΙ, ΓΕΙΩΝΟΝΤΑΙ ΟΛΑ
ΑΥΤΑ ΤΑ ΙΕΡΑ ΕΛΛΑΝΙΑ ΚΕΙΜΕΝΑ, ΟΠΟΥ ΟΥΣΙΑΣΤΙΚΑ ΕΙΝΑΙ ΚΑΙ Ο
ΧΑΡΤΗΣ ΤΗΣ ΕΛΛΑΝΙΑΣ ΔΗΜΙΟΥΡΓΙΚΗΣ ΕΝΘΥΜΗΣΗΣ ΣΑΣ, ΟΠΟΥ
ΜΠΟΡΕΙΤΕ ΝΑ ΚΑΤΑΝΟΗΣΕΤΕ, ΝΑ ΝΟΗΣΕΤΕ ΚΑΙ ΝΑ ΑΝΤΙΛΗΦΘΕΙΤΕ ΜΕ
ΑΠΟΛΥΤΗ ΑΚΡΙΒΕΙΑ, ΤΙ ΑΚΡΙΒΩΣ ΠΡΕΠΕΙ ΝΑ ΕΚΤΕΛΕΣΕΤΕ, ΝΑ ΠΡΑΞΕΤΕ,
ΤΙ ΚΑΙ ΠΟΙΟΝ ΠΡΕΠΕΙ ΝΑ ΑΝΑΓΝΩΡΙΣΕΤΕ, ΓΙΑ ΝΑ ΕΠΙΣΤΡΕΨΕΤΕ ΣΤΟΝ
ΣΤΟΧΟ ΚΑΙ ΣΤΟΝ ΣΚΟΠΟ ΤΗΣ ΑΠΟΛΥΤΗΣ ΑΛΗΘΙΝΗΣ ΘΕΙΑΣ
ΔΗΜΙΟΥΡΓΙΑΣ ΤΟΥ ΦΩΣ.
ΕΙΝΑΙ ΑΠΕΙΡΟΙ ΟΙ ΚΩΔΙΚΟΙ ΑΛΛΑ ΚΑΙ ΟΛΕΣ ΟΙ ΑΝΑΛΥΣΕΙΣ,
ΔΙΑΣΠΑΣΕΙΣ, ΟΠΟΥ ΦΕΡΟΥΝ ΑΠΕΙΡΕΣ ΔΗΜΙΟΥΡΓΙΚΕΣ ΠΛΗΡΟΦΟΡΙΕΣ
ΕΝΘΥΜΗΣΗΣ, ΓΙΑ ΟΛΗ ΤΗΝ ΑΛΗΘΕΙΑ ΟΛΩΝ ΤΩΝ ΑΛΗΘΕΙΩΝ ΣΟΥ ΤΗΣ
ΑΠΕΙΡΗΣ ΕΛΛΑΝΙΑΣ ΓΝΩΣΗΣ, ΤΗΣ ΔΙΚΗΣ ΣΟΥ ΒΟΥΛΗΣΗΣ. ΥΠΑΡΧΟΥΝ
ΧΙΛΙΑΔΕΣ ΣΤΟΙΧΕΙΑ ΚΑΙ ΑΠΟΔΕΙΞΕΙΣ ΓΥΡΩ ΣΟΥ ΤΩΡΑ ΠΙΑ, ΟΠΟΥ
ΜΠΟΡΕΙΣ ΝΑ ΑΝΑΓΝΩΡΙΣΕΙΣ ΕΥΚΟΛΑ ΚΑΙ ΑΠΟΛΥΤΑ ΤΟΝ ΙΔΙΟ ΤΟΝ
ΣΤΟΧΟ ΚΑΙ ΤΟΝ ΣΚΟΠΟ ΤΗΣ ΑΛΗΘΕΙΑΣ ΤΗΣ ΔΗΜΙΟΥΡΓΙΑΣ ΣΟΥ.
ΗΔΗ ΕΚΤΕΛΕΙΤΑΙ, ΤΟΣΟ ΣΕ ΕΣΕΝΑ, ΕΠΕΙΔΗ ΔΙΑΒΑΖΕΙΣ ΤΑ ΙΕΡΑ
ΕΛΛΑΝΙΑ ΚΕΙΜΕΝΑ ΠΟΥ Ο ΙΔΙΟΣ Ο ΣΤΟΧΟΣ ΚΑΙ Ο ΣΚΟΠΟΣ ΧΑΡΑΞΕ
ΓΙΑ ΕΣΕΝΑ, ΑΛΛΑ ΗΔΗ ΣΥΜΒΑΙΝΕΙ ΚΑΙ ΣΕ ΟΛΟ ΤΟ ΔΗΜΙΟΥΡΓΙΚΟ ΣΟΥ
ΠΕΡΙΒΑΛΛΟΝ!
ΤΩΡΑ ΑΝΑΓΝΩΡΙΣΕ ΤΟ ΚΑΙ ΝΑ ΣΥΜΜΕΤΕΧΕΙΣ ΕΝΕΡΓΑ ΜΕ ΦΩΣ, ΕΤΣΙ
ΑΚΡΙΒΩΣ ΟΠΩΣ ΔΟΜΗΘΗΚΕΣ, ΤΗΣ ΔΗΜΙΟΥΡΓΙΑΣ ΤΟΥ.
ΕΙΝΑΙ ΑΠΕΙΡΗ Η ΤΙΜΗ ΚΑΙ ΑΠΕΙΡΟΣ Ο ΣΕΒΑΣΜΟΣ ΓΙΑ ΤΟΝ ΕΛΛΗΝ
ΑΝΘΡΩΠΟ ΝΑ ΦΕΡΕΙ ΣΤΗΝ ΟΛΟΤΗΤΑ ΤΟΥ ΤΗΝ ΠΗΓΗ ΤΟΥ ΙΔΙΟΥ ΤΟΥ
ΩΜΕΓΑ.
ΕΙΝΑΙ ΑΠΕΙΡΗ Η ΤΙΜΗ ΚΑΙ ΑΠΕΙΡΟΣ Ο ΣΕΒΑΣΜΟΣ, Ο ΔΗΜΙΟΥΡΓΙΚΟΣ
ΚΩΔΙΚΟΣ ΤΟΥ ΟΝΟΜΑΤΟΣ ΣΟΥ, ΕΛΛΗΝ ΑΝΘΡΩΠΕ, ΝΑ ΦΕΡΕΙ ΚΑΙ ΤΟ
ΚΩΔΙΚΟ ΠΑΝΙΕΡΟ ΟΝΟΜΑ ΤΟΥ ΙΔΙΟΥ ΤΟΥ 13ΟΥ ΔΕΚΑΤΟΥ ΤΡΙΤΟΥ,
ΤΟΥ ΙΔΙΟΥ ΤΟΥ ΕΛΛΑΝΙΟΥ ΜΟΝΑΔΙΚΟΥ ΜΟΝΑΧΙΚΟΥ ΩΜΕΓΑ.
ΑΡΤΕΜΗΣ ΣΩΡΡΑΣ
ΑΠΟΣΠΑΣΜΑ ΑΠΟ ΤΟ ΒΙΒΛΙΟ:
Η ΤΡΙΑΔΙΚΗ ΜΟΝΑΔΑ ΟΛΙΚΗΣ ΟΛΟΤΗΤΑΣ 3 ΤΡΙΩΝ ΠΑΝΙΕΡΩΝ ΔΗΜΙΟΥΡΓΙΚΩΝ ΓΕΩΔΕΤΗΜΕΝΩΝ ΧΩΡΩΝ ΜΑΝΤΕΙΟ ΔΕΛΦΩΝ-ΠΥΡΑΜΙΔΑ ΡΑ-ΜΑΩΝΑ
ΕΠΙΜΕΛΕΙΑ:
ΛΑΜΠΡΟΠΟΥΛΟΥ ΚΑΣΣΑΝΔΡΑ
ΥΠΟΨΗΦΙΑ ΒΟΥΛΕΥΤΗΣ ΝΟΜΟΥ ΑΡΓΟΛΙΔΑΣ
ΤΗΛ. 6982441921
ΠΗΓΕΣ:
1.https://www.aitherikigrafi.gr/oliki-olotita-monadas-triadas
2.https://drive.google.com/file/d/1ox8ILA1SFVJw2Y0JXNbnjoujqvEMwuzF/view
3.https://thyoni.blogspot.com/2021/06/13.html
---























0 Σχόλια